Геометрия: формы и символы - все видео

Новые видео из канала RuTube на сегодня - 17 April 2026 г.

ТОЗ -25 или Иж -58.
Геометрия: формы и символы
  11.01.2024
The New Font
Геометрия: формы и символы
  11.01.2024
Пример фото⁄видео для меню ресторана
Геометрия: формы и символы
  11.01.2024
№ 771  Решение задания на составление пропорци
Геометрия: формы и символы
  11.01.2024
08. География 6 класс - Реки
Геометрия: формы и символы
  11.01.2024
9. Алгебра - А. Л. Городенцев - 13.10.22
Геометрия: формы и символы
  11.01.2024
Алгебра 7 класс Колягин - Задание 93 часть 2
Геометрия: формы и символы
  11.01.2024
22   How To Zoom In And Out In Libre Office Writer
Геометрия: формы и символы
  11.01.2024
распродажа конфискованных Авто в Минске (Ч2)
Геометрия: формы и символы
  11.01.2024
Закатка патронов звёздочкой
Геометрия: формы и символы
  11.01.2024
Дозатор пороха и дроби.
Геометрия: формы и символы
  11.01.2024
Коленца по русскому плясу
Геометрия: формы и символы
  11.01.2024
Graphing Calculator - Display Results As Fractions
Геометрия: формы и символы
  11.01.2024
Математика ОГЭ-5 Номера 4
Геометрия: формы и символы
  11.01.2024
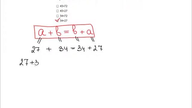
Свойства сложения  А1 1
Геометрия: формы и символы
  11.01.2024
№ 1177- Алгебра 7 класс Макарычев
Геометрия: формы и символы
  11.01.2024

Видео на тему: Геометрия: формы и символы


Одно из первых ружей этой модели!!!Meet our own new font! Name: Triagle Misadventures Enjoy and have fun with it so you can just use it in your apps: Microsoft Word, Powerpoint and more... #newfont #trianglemisadventures Download this amazing app: https://en.freedownloadmanager.org/Windows-PC/FontCreator.htmlМатематика 6 классДругие уроки в плейлисте География 6 класс НИЖЕ ПО ССЫЛКЕ ПОДПИСЫВАЙТЕСЬ https://youtube.com/playlist?list=PLegjgJM3ibyi9LotqgeAQEzzFlLeNgOGGЭто ускоренная версия лекции, оригинал которой можете найти тут: https://www.youtube.com/watch?v=oPkbReL3kLo&list=PLq3E5oubNNoC8nTLPn40PNMjaMcgmCFPA&index=9Математика для взрослых с самого начала. §4 pt. 2. Арифметический корень натуральной степени. Его свойства. Перезапись. #МВсСН #МВСНAccess My Libre Office Writer Course on Udemy - https://www.udemy.com/course/learn-libre-office-writer/?referralCode=7EDC26063582512C3A30Другие решения смотри тут: https://urokitv.net/10-matematika-2-klass-moro Urokitv.net это школьные учебники и решебники с 1-го по 11-й класс школы. Ждем ваших предложений и пожеланий. Если вам нравится, то что мы делаем расскажите про нас своим друзьям и одноклассникам. Если хотите выполнить упражнение на полях страницы 88, вы должны уметь выполнять сложение и вычитание чисел, разбивать данные выражения на 2 группы. Если вы хотите выполнить это задание быстро и без ошибок, мы рекомендуем к просмотру наше видео! Страница 88 Задание на полях – Математика 2 класс (Моро) Часть 1распродажа конфискованных Авто в Минске ч1https://www.youtube.com/watch?v=gsmZil-BBCg&t=7s МОЙ ВКhttps://vk.com/rlala84 мой Инстаграм instagram. https://www.instagram.com/_k.kirill/Не судите строго, это мой первый ролик снятый собственноручно. Здесь демонстрируется американский станок, который позволяет произвести закатку патрона звёздочкой, в домашних условиях.Коленца по русскому плясу показывает Инструктор Системы Сибирский Казак Фёдор Тарабукин (С-Петербург) на Сибирской Заставе, лето 2015 г.Use the graphing calculator to display a decimal as a fraction or show an answer in fraction formВидео решение к номеру 1177 по алгебре за 7 класс, авторов Ю.Н. Макарычев, Н.Г. Миндюк, К.И. Нешков, С.Б. Суворова. Более подробное гдз к этому заданию можно найти здесь https://gdz.ru/class-7/algebra/makarichev-18/1177-nom/