Топ видео
1+
8
На главную
Категории
Новости
Мультфильмы
Сериалы
Фильмы
Музыка
Спорт
Телепередачи
Охота и Рыбалка
Обзоры и распаковки
Лайфстайл
Недвижимость
Здоровье
Природа
Дизайн
Техника
Бизнес
Культура
Религия
Строительство
Сад и огород
Аудиокниги
Еда
Интервью
Развлечения
Лайфхаки
Эзотерика
Наука
Политика
Психология
Аудио
Технологии
Красота
Детям
Аниме
Хобби
Видеоигры
Юмор
Обучение
Разное
Путешествия
Животные
Авто-мото
История развития мостостроения в России
Видео: История развития мостостроения в России
15
"Практическая геодезия и Мостостроение"
Опубликовано: 16.02.2026 | Продолжительность: 00:15:10
,
#
Категория видео:
Обучение
Sort by
Top Rated
Viewed
Close
Новое видео
Смотреть
Top Rated
Viewed
Close
ВСЁ, ЧТО НУЖНО ЗНАТЬ ПРО 14 ЗАДАНИЕ | ТЕПЕРЬ ТОЧНО РЕШИШЬ!
2026-04-17 в 14:22:25
Смотреть
Top Rated
Viewed
Close
Rebotica. Новирский Алексей - урок 16
2026-04-17 в 13:51:36
Смотреть
Top Rated
Viewed
Close
Устройство БНС РИТ (разрядно-импульсная технология)
2026-04-16 в 05:35:45
Смотреть
Top Rated
Viewed
Close
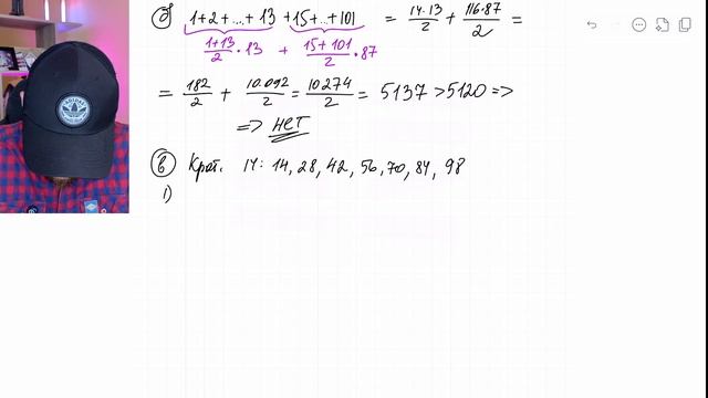
На доске написано 100 различных натуральных чисел с суммой 5120.
2026-04-17 в 13:52:15
Смотреть
Top Rated
Viewed
Close
Вариант №7 уровня РЕАЛЬНОГО ЕГЭ 2026 С ПОЛНОГО НУЛЯ | ИНФОРМАТИКА ЕГЭ 2026
2026-04-17 в 14:46:01
Смотреть
Top Rated
Viewed
Close
Из пары натуральных чисел (𝑎; 𝑏), где 𝑎 ﹥ 𝑏, за один ход получают пару (𝑎 + 𝑏; 𝑎 − 𝑏).
2026-04-17 в 14:03:26
Смотреть
Top Rated
Viewed
Close
Единый день открытых дверей 2026 в УКРТБ
2026-04-17 в 14:20:37
Смотреть
Top Rated
Viewed
Close
Поставка ветеринарных препаратов по ФЗ-223 и ФЗ-44
2026-04-17 в 14:10:29
Смотреть
Top Rated
Viewed
Close
Мост Русский. Укладка томпонажного слоя
2026-02-20 в 17:20:56
Смотреть
Top Rated
Viewed
Close
Построение контурных точек, составление и оформление плана - 4 точки
2025-11-12 в 19:25:07
Смотреть
Top Rated
Viewed
Close
Отрисовка рельефа. Проведение горизонталей
2026-03-06 в 20:42:03
Смотреть
Top Rated
Viewed
Close
Уравнивание приращений координат теодолитного хода (замкнутый)
2025-10-17 в 17:28:49
Смотреть
Top Rated
Viewed
Close
Copy_A6AB01FC-40F6-4939-91AB-89C377A38A16
2026-04-17 в 13:52:41
Смотреть
Top Rated
Viewed
Close
Устройство БНС (буро набивных свай)
2026-04-15 в 08:56:01
Смотреть
Top Rated
Viewed
Close
Blender & AE Lesson 1 Upd
2026-04-17 в 13:52:05
Смотреть
Top Rated
Viewed
Close
2 сентября 3 А класс
2026-04-17 в 14:00:03
Смотреть
Top Rated
Viewed
Close
Построение координатной сетки теодолитного хода 5 точек
2025-10-26 в 23:18:23
Смотреть
Top Rated
Viewed
Close
Мост Русский. Укладка бетона в ростверк пилона
2026-02-22 в 07:55:21
Смотреть
Top Rated
Viewed
Close
Построение контурных точек. Составление плана 5 точек
2025-11-23 в 15:57:15
Смотреть
Top Rated
Viewed
Close
Масленица
2026-04-17 в 13:59:28