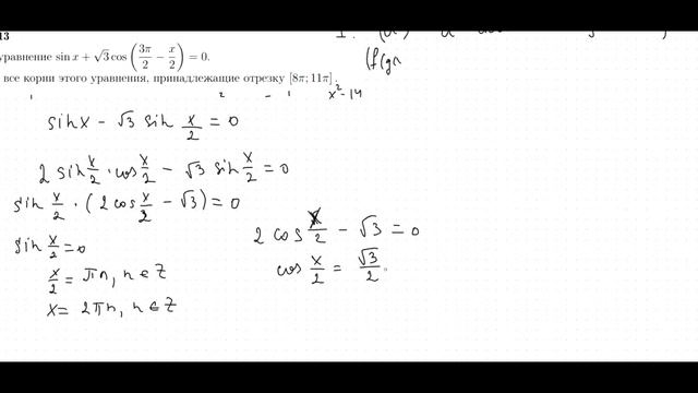
1604 решение 20 задачи ОГЭ

1604 решение 20 задачи ОГЭ

Видео: 1604 решение 20 задачи ОГЭ

RuTube

Математика - это просто

Опубликовано: 16.04.2026 | Продолжительность: 00:40:03

,

#

Категория видео: Обучение

Попались!
Смотреть
1504
Смотреть
  2026-04-16 в 12:55:18
1604 экономика
Смотреть
0204 задачи
Смотреть
1704 3 часть
Смотреть
Blender & AE Lesson 1 Upd
Смотреть
Video1174101490
Смотреть
1704 2 часть
Смотреть
1704 1
Смотреть
  2026-04-17 в 11:28:24
13 задача
Смотреть